Filibuster Fingerprints Are All Over Our Dying Democracy
The filibuster is the world’s largest fig leaf, big enough to hide dozens of cowardly or bought-off senators of both parties, all at one time
If the American republic is to die in the next few years, it’ll have the filibuster’s fingerprints all over it.
Republican legislatures around the country are passing laws that will let them — rather than their states’ voters — decide which presidential candidate gets their state’s electoral college votes in 2024. If such laws were in effect in 2020, Donald Trump would still be president.
The only way to block these state laws that overturn democracy is through a federal law deeming their scheme illegal, using the Supremacy Clause of the Constitution to overrule these states’ new voter-replacement and voter-suppression laws.
And there are several bills in Congress right now to do just that. They include the For The People Act, to The John Lewis Voting Rights Act to the watered-down Freedom To Vote Act currently championed by Joe Manchin that just got a full 50 votes.
While all of these bills presumably have the 50 votes needed from Democrats (plus the tiebreaker from VP Kamala Harris) to pass, all are being blocked by Republican filibusters.
Which has Americans wondering, if our democracy itself is literally hanging in the balance and only thing blocking it is the filibuster, why hasn’t the filibuster been nuked by Democrats in the Senate?
There’s an actual reason that Congress has not yet nuked the filibuster that your US senator will almost certainly not explain to you. In a nutshell, it gives them a way to conceal how they’re working on behalf of special interests, in a way that you and I will never find out about, as long as the filibuster remains.
Put bluntly, the filibuster protects Senators from the pain and anguish that Joe Manchin and Kyrsten Sinema are experiencing right now, which is why so many senators in both parties want to keep it around.
First, to define a few terms:
A “filibuster” or “extended debate” is put into effect when a single senator says, essentially, “I object” to any particular piece of legislation before the Senate. As soon as that happens, instead of 51 of the 100 senators (or 50 plus the VP’s vote) being needed to pass a bill, the threshold rises to 60 votes needed out of 100. When Obama became America’s first Black president in 2009, Republicans started routinely filibustering everything (something never done before), and now they’re doing that again to Biden.
The “reconciliation” process is using a hole drilled in the filibuster by the 1974 Congressional Budget and Impoundment Control Act to prevent a filibustering minority from sabotaging the country by refusing to let an essential budget bill pass. It was fine-tuned by Senator Robert Byrd with the so-called “Byrd Rule” in 1985 to limit what could be thrown into a reconciliation bill: they must be, at their core, about taxing and spending and not increase the budget deficit. Reconciliation cannot be used, for example, to criminalize abortion or abolish Social Security.
The reason why Joe Manchin and Kyrsten Sinema are, right now, the subject of so much public denunciation is because Democrats are trying to push through President Biden’s Build Back Better bill via reconciliation, meaning it only takes 50 (plus the VP) votes to pass into law.
This is how the Constitution designed the Senate: a simple majority wins and passes legislation. (Which is why ending the filibuster is sometimes called the “Constitutional Option.”)
Because there are exactly 50 Democratic senators right now, every single one has the ability to vote “No” and kill any reconciliation bill by denying everybody else that 50th vote.
Joe Manchin has publicly used that power to gut the climate change provisions in President Biden’s Build Back Better legislation and Kyrsten Sinema is using her vote to prevent it from being paid for by tax increases on the billionaires who are feeding her piles of cash and other goodies.
This is how the Senate was designed to work when the Constitution was ratified in 1789. If there were no filibuster (and there wasn’t then), this is what would happen with every single piece of Democratic-proposed legislation before a closely divided Senate: every vote would count, and would count in public.
If it was a bill to constrain banksters, for example, the handful of senators deeply in the banks’ pockets would have to stand up and say “No” in a very public way. Votes are matters of record.
People who’ve been screwed by their banks would be furious — and would know the names of the obstructing senators, just like we now know that Manchin is a tool of the fossil fuel industry and Sinema is working for the interests of the morbidly rich.
Ditto for legislation to stop us from being screwed by Big Pharma, Big Oil, Big Insurance, Big Airlines, Big Tech or any other industry or group of billionaires that routinely purchases a handful of senators to insure legislation never passes.
Without the filibuster, we’d know every one of their names. We’d then be able to look at their history and their donors and figure out — like we have with Manchin and Sinema — how their donor’s money and personal interests are influencing their votes.
Instead, for every piece of legislation outside of those that can be passed by reconciliation, we quite literally never, ever find out who’s bought off and by whom.
Democrats can propose great legislation to regulate banks or pharma or whatever else and bought-off senators can even vote for the legislation that they actually oppose. It’s a no-risk vote because the other side’s filibuster means the bill will never pass no matter how all the Democrats vote.
They’ll go back to their states and shrug their shoulders, saying, “I tried to pass that law keeping you from being ripped off by your insurance company, but the damn Republicans filibustered it. We couldn’t get to 60 votes.”
Republicans senators have also been playing this game, along with Democrats, since it became the normal way of doing business in 2007. They’ll say, for example, “Sure, we tried to stop your jobs from going overseas, but the damn Democrats filibustered our tariff bill.”
If there was no filibuster, we’d know — particularly when the Senate is closely divided — the exact and real position of every senator of both parties. They’d be outed by their votes or threats to vote “No.”
And then every single bought-off senator would face the same hell that Manchin and Sinema are enduring right now, being chased through airports by constituents and condemned in the editorial pages of their hometown newspapers.
That would be, in their opinions, intolerable. It’s why over 60 senators of both parties co-signed a letter in 2017 telling then-Senate Majority Leader Mitch McConnell that they want the filibuster to stay in place.
It’s the world’s largest fig leaf, big enough to hide dozens of cowardly or bought-off senators of both parties, all at one time.
It’s such a useful fig leaf that every time voters start demanding it be nuked, senators and their allies begin the “This is the only thing keeping back the Mongol hordes!” scam.
“Even though we’re in power now, when the other side inevitably takes power,” Senators warn with dire intonation, “they’ll do absolutely terrible things with their simple majority if we can’t stop them with the filibuster!”
Both parties say it: Republicans warn of socialism and gun control taking over America; Democrats warn of the end of Obamacare or legal abortion.
The simple fact is that until about 40 years ago the filibuster was almost exclusively used to block civil rights legislation. That’s it. Not a single bill was filibustered from 1836 to the Civil War that didn’t have to do with slavery, and fewer than a dozen bills were filibustered from 1865 to 1965 that weren’t about civil rights.
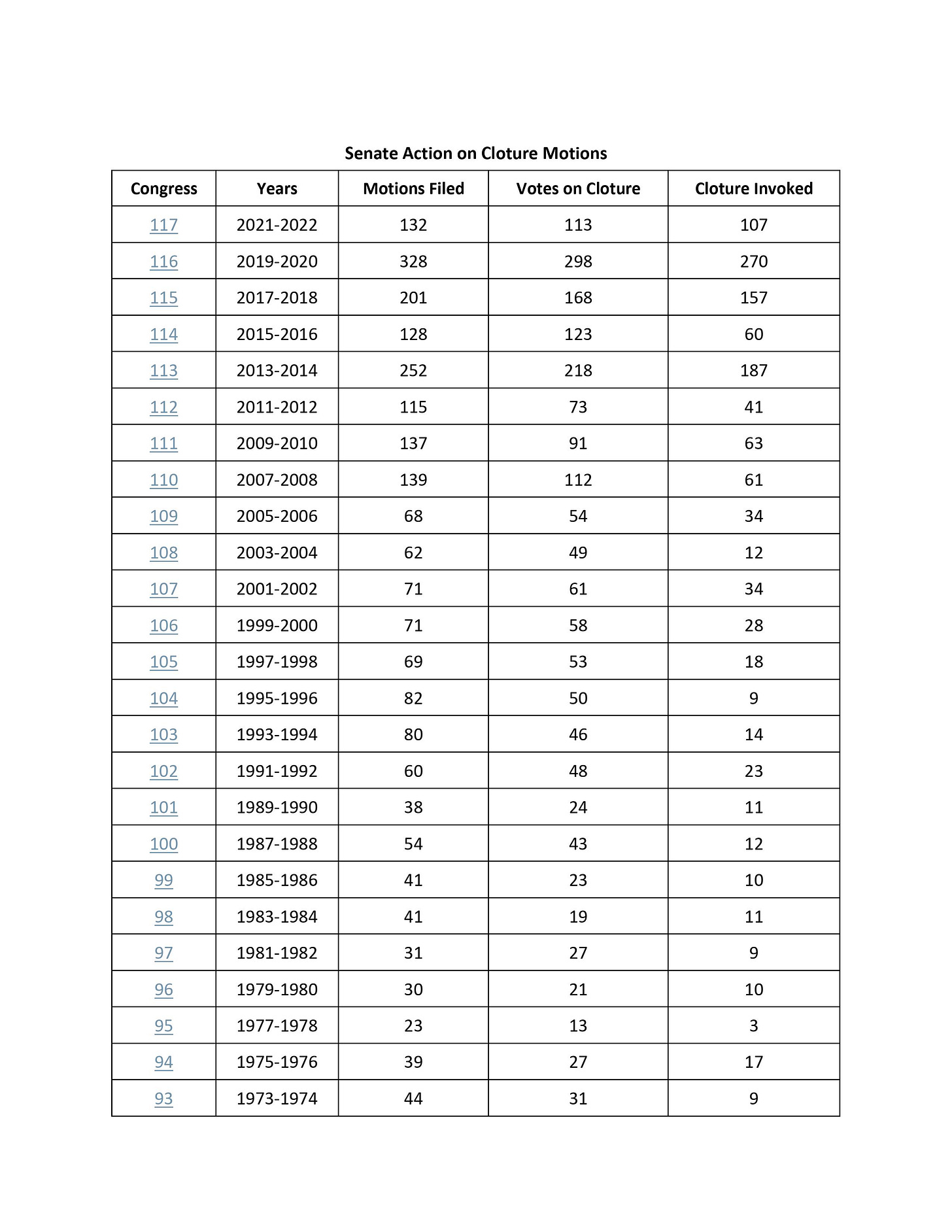
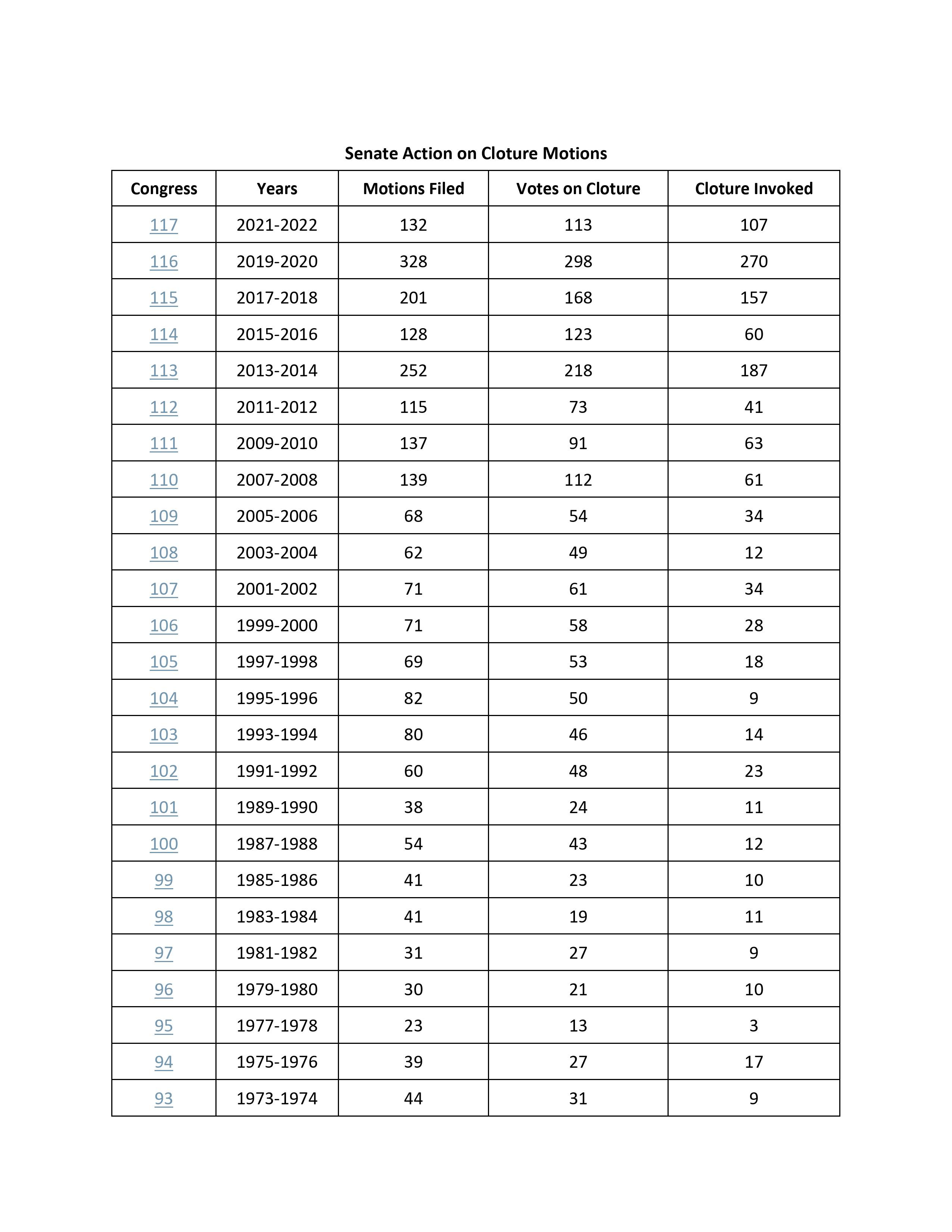
And somehow we got along just fine. (There’s a table at the end of this article from the US Senate that shows all the cloture votes — votes to end a filibuster “debate” — since 1923, FYI. It’s an eye-opener.)
In fact, when either party tried to do something outrageous over the 200 years prior to the Obama presidency in 2007, when Republicans started using the filibuster routinely (see below), it wasn’t the filibuster that stopped them: it was public opinion and fear of the next election.
That’s why cloture was only invoked 5 times during the entire decade of the 1960s and only 27 times during the entire decade of the 1970s (see below). But now it happens to every single piece of legislation Democrats propose: it’s no longer a tool of debate, but an anonymized instrument for naked obstruction of the people’s will with no blame or consequences.
It doesn’t have to be this way. The filibuster can be modified or even eliminated altogether with just 50 votes plus Vice President Harris. If we don’t do this now, because of these new voting suppression and preemption laws we may not have another chance after the election of 2022. We may not even have a democracy any more.
The good news is that while most all Democratic senators wanted to keep the filibuster in place just a few years ago, fully 45 of the 50 of them are now openly in favor of modifying it or at least drilling another hole in it to cover voting rights.
And the effort to end the filibuster is supported now by a broad swath of Americans, as you can see from a new bipartisan “open letter” from a group including the entire political spectrum from William Kristol to Noam Chomsky.
Even better, 13 out of the 50 Democrats in the Senate have recently called for the filibuster to be ended altogether, giving us a good glimpse of the list of “not-bought-off” Democratic senators who are unafraid of being on the record in the future.
This “we don’t need no stinkin’ fig leaf” caucus includes Democratic Senators Blumenthal, Brown, Cardin, Casey, Gillibrand, Hirono, Heinrich, Klobuchar, Markey, Rosen, Sanders, Schatz, and Van Hollen.
If one of these Senators represents you, it’s worth taking a few minutes to call their office through the Senate switchboard at 202-224-3121 to thank them.
And if you’re represented by a Democrat who’s not on that list, you may want to call and ask them why they’re not.





The fear of 2030 is the when minority becomes the majority whites some how no what if they start doing to us some of what we did to them
2030 is coming and they will not stand
For all of those people still voting
Said it before that the filibuster is the gift senators give themselves. It is the veto power without having to do the work to become president. President Biden said the other day in reference to the current Democratic senator "problem" that there are 50 presidents. He should have said there are 101.
I will make those calls.