Saturday Report 10/19/24 - Crazy Alert! Fully 42% of Americans would rather live in a haunted house than next door to outspoken Republicans...
The Best of the Rest of the News

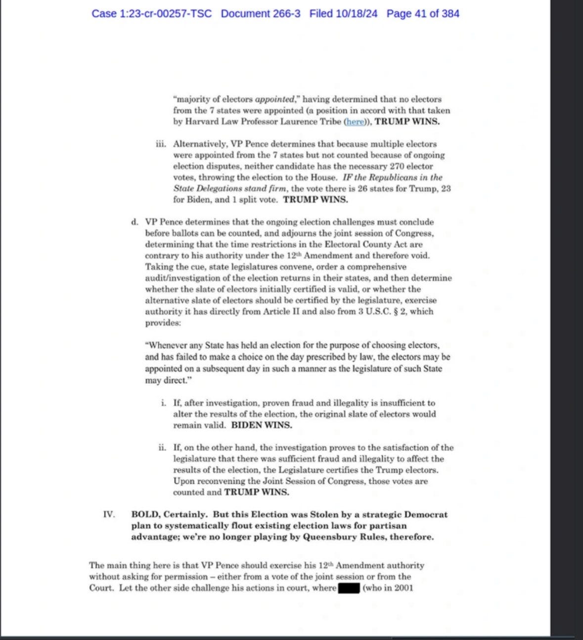
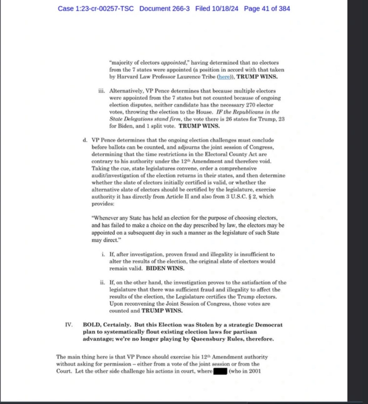
— What’s in Jack Smith’s evidence released yesterday? One eye-raiser was that the organizers of the event that preceded the January 6th coup attempt spent fully $3 million to get people to DC. As Sarah Burris notes at Raw Story: “Among the recipients of the money was the conservative group TurningPointAction, which got $1 million, according to the papers. Donald Trump Jr's super PAC, ‘Save the Senate’ got a $500,000 payment. The Tea Party Express got $400,000 and $200,000 was sent to a redacted name that was recruited ‘to assist with his organization efforts,’ the documents say.” A second big reveal was the actual plan to overturn the election, which Trump’s people had war-gamed out. I’ve pasted the document outlining it at the very bottom of this page/report. These people were deadly serious about overturning our democracy in 2020, and there’s little doubt in my mind they’re even more organized and slick in their plans for this year. Stay alert!
— Russia is looking to ban “propaganda” promoting child-free lifestyles: Is Putin teaching JD Vance how to do it, or do they just think alike? Russian citizens could face fines of up to 400,000 rubles if they are found guilty of “promoting a child-free lifestyle” (aka “childless cat ladies”), as the women of that country simply aren’t producing enough babies to maintain or grow its population. Putin himself has argued that all Russian women should be producing eight babies each, causing some to think that he’s dreaming of a future army. But that’s so far in the future they’d be reaching draft age long after Putin’s gone. Generally, the two things that cause population growth to slow or even stop are either an increase in affluence and economic power among women (northern European countries and the white population in many US states have seen this) or its opposite, terrible poverty combined with political instability and government violence. Given the impact on the Russian economy of Putin’s ill-advised and criminal war against Ukraine, the driver of their population stagnation or drop is almost certainly associated with an increasingly bad economy and Russia’s increasing crackdowns on dissent. Putin’s pushing “traditional family values,” much like his friends in our GOP, meaning that women should be kept to the bedroom and kitchen, gays are proscribed, and Christianity becomes the excuse for a whole spectrum of oppressive laws. Or, as JD Vance and Ted Cruz might call it, “paradise!”
— Trump has repeatedly threatened to deploy the military inside major cities run by Democrats: Would he do it? Given how, when he was president, he already sent federal officers without ID or uniforms into Portland and Seattle to terrorize, kidnap, and beat protestors, this is a threat we must take seriously. So, Democratic mayors and other officials in Blue cities are starting to work together to come up with contingency plans should Trump somehow end up back in the White House. It’s a challenge, though: as Richmond, Virginia’s Democratic Mayor Levar Stoney told The Guardian, “It’s very difficult to autocrat-proof your city. But you have to have backstops, and mayors are working in coalition to ensure they can be a backstop against these divisive policies.” Frankly, we all should be thinking now about what we’ll do if Trump’s elected and begins going after anybody who’s ever posted an anti-Trump or anti-fascist message on social media, participated in a demonstration, or even been active in the Democratic Party. We’ve seen this movie before, and it doesn’t end well.
— It's getting really bad out there: Are Government workers being hunted? Over at one of my favorite Substack newsletters, Radical Reports, Teddy Wilson lets us know that at least one man radicalized by Trump’s and Vance’s lies about FEMA and the federal government has been arrested and jailed. He had an AR-style rifle and two handguns, and was apparently out “hunting” federal workers trying to rescue or assist victims of Hurricane Helene. Wilson also reports on Nazi groups affiliated with the GOP passing out recruiting information, even handing flyers to children. Between Trump, Fox “News,” and rightwing hate radio, the rightwing movement in America is having a moment. The big question is whether a decisive Trump defeat will take the wind out of their sails and, like with the Klan in the 1940s, lead to a decline in their power and influence, or if they’ll succeed in expanding their hate and threats against America’s first Black woman president and her administration. I’m not taking bets, and could argue either.
— Dirty tricks? Trump Super-PAC sent out a bogus Medicare cancellation notice to scare voters about Kamala Harris. One of the largest pro-Trump superPACs has dropped a massive mailing of “Medicare Cancellation Notices” letting seniors know that Kamala Harris is preparing to end the program or at least throw them off it. As David Corn reports at Mother Jones, some of the richest men in America are behind it: “MAGA, Inc. is the top pro-Trump super PAC. It has raised over $300 million during the 2024 campaign, most of it from Republican billionaires, including Howard Lutnick, the CEO of Cantor Fitzgerald; Paul Singer, a hedge fund manager; Charles Kushner, the father of Jared Kushner and real estate magnate who went to jail for tax evasion and for retaliating against a federal witness (and whom Trump pardoned); and Timothy Mellon, the reclusive heir to the Mellon banking fortune, who has pumped in over $150 million.” What could these billionaires want? If you selected “more tax cuts” and “a return to segregation” I’d bet you’d have hit it right on the nose. Meanwhile, an unknown GOP-aligned group is sending text messages to college students in Wisconsin threatening them with prison if they dare vote. These people will stop at nothing…
— Crazy Alert! Fully 42% of Americans would rather live in a haunted house than next door to outspoken Republicans. A new survey by a real estate publication finds that a house that’s haunted loses as much as $100,000 in value once its widely believed the residents will be harassed by ghostly presences. They found that 27 percent of people who’ve bought and lived in a haunted house regret it, but that’s apparently nowhere near as bad as living next door to “outspoken Republicans.” It’d be fascinating to do a study on what happens to values and sale-ability when homes go on the market next-door to a house with a Trump sign in the yard…
— Hunter in a Farmer’s World Alert:
— Wisdom School Alert:






Everyone knows that Trump is guilty mostly because of his own statements. The lack of action by the Justice Department from day one is criminal especially for those in Congress itself.
If the leaders on Earth were rational thinkers, and believed in science, global warming and common sense, not greedy, lying, sadists. There would be less abortions and more babies. Who can afford to have a baby when the rich are taking almost all the wealth.
As a child my relatives owned a ranch and I got to be around a lot of livestock, a lot of times. Feed them and herd them mostly. I have seen cows get artificially inseminated! Ranchers will stop at nothing to increase the size of their herds! The fascists want women's wombs to belong to them! Along with everything and everyone else!
Without a maximum income this will never stop! The billionaire's compete against each other to see who's going to end up the richest before they die and they could care less about anyone else!
Great humans like Franklin Delano Roosevelt are what enabled these lunatics to make money in the first place! The rational humans keep getting their governments destroyed by barbarians! Unlimited greed must end or it will end the human race! We may have already reached the tipping point of global warming!